English
CAS:1377049-84-7

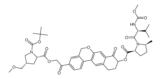
维帕他韦

CAS:1377049-84-7 英文名Velpatasvir
我有技术|我要技术 查看供应商列表
产品信息
分子式 C50H55N7O8 分子量 882.01
退税率 海关编码
是否需要商检 是否危险品
别名(英文) Velpatasvir;Velpatasvir;Velpatasvir;Velpatasvir;Velpatasvir;Velpatasvir;Velpatasvir;Velpatasvir;Velpatasvir;Velpatasvir;Velpatasvir;Velpatasvir;Velpatasvir 别名(中文)
外观物理性质 储存条件
用途 原料药>> 抗丙肝药>>维帕他韦
备注信息
相关中间体

(2S,4S)-4-(甲氧基甲基)-1,2-吡咯烷二甲酸1-叔丁基酯   (2S,4S)-4-(Methoxymethyl)-1,2-pyrrolidinedicarboxylic acid 1-(1,1-dimethylethyl) ester

CAS

1378388-16-9

相关原料药

维帕他韦 

(5S)-N-(甲氧羰基)-L-缬氨酰-5-甲基-L-脯氨酸   (5S)-N-(Methoxycarbonyl)-L-valyl-5-methyl-L-proline

CAS

1335316-40-9

相关原料药

维帕他韦 

3-(2-溴乙酰基)-10,11-二氢-5H-苯并[d]萘并[2,3-b]吡喃-8(9H)-酮   3-(2-Bromoacetyl)-10,11-dihydro-5h-dibenzo[c,g]chromen-8(9h)-one

CAS

378390-29-4

相关原料药

维帕他韦 

9-溴-3-(2-溴乙酰基)-10,11-二氢-5H-苯并[d]萘并[2,3-b]吡喃-8(9H)-酮   9-Bromo-3-(2-Bromo Acetyl)-10,11-Dihydro-5H-dibenzo(c,g) Chromen-8(9H)-one

CAS

1438383-89-1

相关原料药

维帕他韦 

(2S,4S)-2-[5-[1,11-二氢-2-[(2S,5S)-1-[(2S)-2-[(甲氧羰基)氨基]-3-甲基-1-氧代丁基]-5-甲基-2-吡咯烷基][2]苯并吡喃并[4',3':6,7]萘并[1,2-d]咪唑-9-基]-1H-咪唑-2-基]-4-(甲氧基甲基)-1-吡咯烷羧酸叔丁酯   (2S,4S)-2-[5-[1,11-Dihydro-2-[(2S,5S)-1-[(2S)-2-[(methoxycarbonyl)amino]-3-methyl-1-oxobutyl]-5-methyl-2-pyrrolidinyl][2]benzopyrano[4',3':6,7]naphth[1,2-d]imidazol-9-yl]-1H-imidazol-2-yl]-4-(methoxymethyl)-1-pyrrolidinecarboxylic acid 1,1-dimethylethyl

CAS

1378391-45-7

相关原料药

维帕他韦 

维帕他韦中间体 VP N-3   1-Tert-butyl 2-[2-[9-[[[(2s,5s)-1-[(s)-2-(methoxycarbonylamino)-3-methylbutanoyl]-5-methylpyrrolidin-2-yl]carbonyl]oxy]-8-oxo-8,9,10,11-tetrahydro-5h-dibenzo[c,g]chromen-3-yl]-2-oxoethyl] (2s,4s)-4-(m

CAS

1378391-43-5

相关原料药

维帕他韦 

(2S,4S)-2-(5-(2-((2S,5S)-1-(N-(甲氧羰基)-L-缬氨酰基)-5-甲基吡咯烷-2-基)-1,4,5,11-四氢异苯并吡喃并(4',3':6,7)萘并(1,2-d)咪唑-9-基)-1H-咪唑-2-基)-4-(甲氧基甲基)吡咯烷-1-羧酸叔丁酯   tert-butyl (2s,4s)-2-(5-(2-((2s,5s)-1-(n-(methoxycarbonyl)-l-valyl)-5-methylpyrrolidin-2-yl)-1,4,5,11-tetrahydroisochromeno(4',3':6,7)naphtho(1,2-d)imidazol-9-yl)-1h-imidazol-2-yl)-4-(methoxymethyl)pyrrolidine-1-carboxylate

CAS

1378391-44-6

相关原料药

维帕他韦 

找不到需要的 维帕他韦 的中间体?欢迎在下方提交委托化学汇帮您采购。

如果您拥有或者需要 维帕他韦 的生产工艺,欢迎提交信息,坐等项目上门!

我有技术|我要技术 查看供应商列表

为什么要选择化学汇

致客户 TO CUSTOMERS

定制生产、技术求购、项目外包,信赖化学汇!

化学汇,第一家商业化项目的工艺研发和大生产互联网平台
有如下之一情形,请联系我们:
采购的原料有稳定需求,需要降低采购成本
国内工厂生产压力巨大,急需备选供应商
产品正常生产,但急需改进工艺以便符合环保要求
项目需要研发但自身或外部资源无法满足要求
从现在开始,试试化学汇,看看我们能不能帮助您解决一些困惑
致研发、大生产工程师 TO CHEMISTS

找项目,信赖化学汇!

化学汇,第一家商业化项目的工艺研发和大生产互联网平台
搞研发定制,劳心费神搞出来,客户下次再买不知道猴年马月
搞工艺,想想很美好,实际困难重重,市场、研发、中试、大
生产、资金,任何一环缺了都不行!
怎么办?
从现在开始,试试化学汇,看看我们能不能帮助您解决一些困惑
化学汇介绍INTRODUCTION
  • 化学汇是什么

    化学汇是生物医药化工行业内第一家以整合项目、技术、生产、销售和资金等各方资源为己任的项目孵化和商业化生产平台,我们始终致力于提高行业资源利用率以及行业生产效率。

  • 化学汇的作用

    针对技术开发者,化学汇将提供专业顾问、利益保护、收益明确的服务,让开发者的每一滴汗水都产生效益;针对项目需求方(客户),化学汇强大的互补的技术开发团队不是任何一家公司能够招募的;同时,化学汇给工厂提供了一个集中展示的平台,合理高效利用工厂的生产平台,让工厂安安心心搞生产,再也不愁没有项目。

  • 化学汇的宗旨

    化学汇旨在利用互联网思维解决行业问题,通过实现开发者(研发、大生产工程师)知识技能碎片化和项目碎片化的高效对接来组建虚拟研发团队,由此所形成的研发背景和技术实力是一般传统企业无法实现的。

资源介绍

位于甘肃兰州、江苏金湖、浙江宁波的研发实验室
位于四川宜宾、山东聊城、山东菏泽等地的中试及大生产场地
以及根据不同项目要求和设备条件选择的位于全国各地的工厂

查看详情
四川宜宾基地
山东菏泽基地
甘肃兰州实验室
江苏金湖实验室
浙江宁波实验室
我们的服务
服务类别 说明 收费
免费服务 通过化学汇平台发布对接的找技术、找工厂、找项目信息 100%免费
化学汇指定专人对接服务收费
平台级技术顾问 由化学汇指定有相同项目经验的专家并协同化学汇全网资源进行技术顾问服务 ¥5万元起
项目市场可行性分析 分析指定产品的市场可能性、国内外潜在客户、潜在竞争对手、市场价格 ¥1万元/产品
找技术 由化学汇担保交易 10%技术转让佣金
找工厂 根据项目难易,寻找合适工厂 ¥2万元起
找项目 根据工厂设备条件,持续对接化学汇公开或保密项目信息,工厂再也不用担心项目来源 ¥5万元/年
工艺路线开发 根据项目难易,达成一定工艺目标 ¥5万元起
工艺路线改进优化 根据项目难易,达到一定工艺改进目标 ¥5万元起
国内外产品销售代理 签署代理协议,透明客户信息 5%销售佣金
产品代加工 由客户提供产品技术工艺,化学汇承担产品生产及保密要求 根据项目要求、设备清单、三废情况报价
合作生产 由化学汇参与研发、生产、销售或资金中的任何一方 根据项目难易,以及化学 汇角色风险大小报价

* 以上服务均签署相关服务协议,并提供正式服务费发票

* 若化学汇最终没能完成协议目标,仅收取10%的服务费,所有数据归用户所有,详情请咨询在线客服

我们的优势
研发优势
6000名以上我们能拥有但不占有的研发和大生产工程师团队
浙江、江苏、四川、甘肃等多处实验场地及中试平台
资源优势
化学汇能够调动研发、生产资源的跨地区,跨公司的紧密合作,以人为本,让项目围着人来转,让实验室围着人来转,这不是单一技术个人能够处理的
除了国内,在印度等市场也积累了一定的研发及生产资源
团队优势
化学汇合伙人均具有15年以上化工外贸经验、15年以上研发、放大生产经验,我们具有互联网、研发、生产、销售的先进理论、实战经验和成功案例
生产优势
位于全国各地的10几家不同条件的工厂,化学汇不断输送杰出的工程师团队和SOP管理规范以确保持续稳定的生产供货能力
信息优势
化学汇拥有最庞大的大数据优势,在外贸信息上面尤为突出,我们拒绝做无市场的产品工艺开发和优化
化学汇同时拥有国内外近万人化工从业者个人资料库,可第一时间对接到个人
安全保密
传统模式下的项目研发和合作生产存在信誉风险,化学汇基于大数据,所有服务开始之前均签订合作协议,保障各方利益,让失信的代价更惨重

媒体报道